Как работает калькулятор сложного процента и расчет доходности

Как работает калькулятор сложного процента

Сложный процент играет ключевую роль в накоплении и увеличении капитала, позволяя инвестициям расти быстрее благодаря начислению процентов не только на первоначальную сумму, но и на уже начисленные проценты. В этой статье мы подробно объясним принцип работы сложного процента и расскажем, как использовать калькулятор сложных процентов для точного расчёта доходности ваших инвестиций.

Понимание сложного процента: базовые принципы

Сложный процент – это способ начисления процентов, когда к сумме первоначального вклада добавляются проценты, накопленные за предыдущие периоды, и новая сумма становится базой для дальнейшего начисления. Благодаря этому эффекту капитал растет экспоненциально, а не линейно, что значительно увеличивает итоговую доходность.

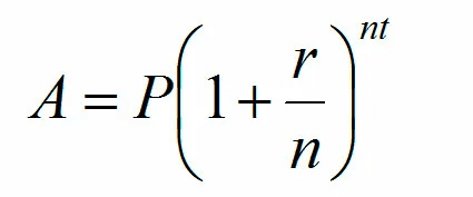
Формула для расчёта сложного процента выглядит так:

  • A – итоговая сумма с капитализацией;
  • P – начальная сумма вклада;
  • r – годовая ставка в десятичном виде (например, 0.05 для 5%);
  • n – число начислений процентов в году;
  • t – срок вклада в годах.

Например, если вы вложили 100 000 рублей под 10% годовых с ежемесячной капитализацией, спустя 3 года сумма будет рассчитана с учётом того, что проценты каждый месяц прибавляются к основному капиталу, а значит доходность увеличивается быстрее, чем при простом проценте. Тогда 100 000 рублей при 10% годовых с ежемесячной капитализацией через 3 года превратятся в 134 802 рубля.

Как использовать калькулятор сложного процента для расчёта доходности

Калькулятор сложного процента значительно упрощает задачу инвестора, позволяя быстро и точно определить, как изменится сумма вклада с течением времени. Обычно пользователь вводит исходные данные:

  • начальную сумму;
  • процентную ставку;
  • период начисления процентов (год, полгода, месяц и т. д.);
  • срок инвестирования.

После ввода калькулятор автоматически применяет формулу сложного процента и выдаёт конечную сумму, а также может показать прирост капитала за каждый период. Это позволяет оценить реальные возможности инвестиций без необходимости вручную выполнять сложные математические вычисления.

По теме:  Как рассчитать доходность инвестиций: ROI и не только

Например, возьмём вклад 50 000 рублей под 8% с ежеквартальной капитализацией на 5 лет. Калькулятор быстро покажет, что итоговая сумма составит больше, чем при простом начислении процентов, и продемонстрирует, как каждые 3 месяца доходность начисляется на новую сумму.

Практические кейсы и советы по эффективному использованию калькулятора

Рассмотрим несколько реальных сценариев, где калькулятор сложного процента помогает принимать оптимальные финансовые решения:

  • Пенсионные накопления: регулярные взносы с капитализацией заметно увеличивают ваш капитал, что можно увидеть с помощью калькулятора, выбирая оптимальный период и ставку.
  • Рефинансирование кредита: калькулятор помогает оценить выгоду досрочного погашения с учетом процентной ставки и периода начисления.
  • Инвестиции в облигации: понимание сложного процента даёт ясность относительно реальной доходности, особенно с учётом периодичности выплат купонов и их реинвестирования.

Важно учитывать, что чем чаще происходит капитализация процентов, тем выше итоговая доходность. Калькулятор позволяет быстро оценить разницу между, например, ежемесячным и ежегодным начислением, что помогает выбрать наиболее выгодный продукт.

Заключение

Сложный процент – мощный инструмент увеличения капитала, а калькулятор сложного процента – незаменимый помощник для инвестора или заёмщика. Используя калькулятор, вы можете точно рассчитать доходность, подобрать оптимальные условия вклада или кредита и принимать осознанные финансовые решения. Понимание и правильное применение этого инструмента позволяет максимально эффективно управлять своими деньгами и планировать будущее.